前言
2020年7月15日,两篇有关研究小鼠衰老图谱的背靠背文章,发表于Nature。今天为大家揭晓其中一篇的面纱。
2018年10月,The Tabula Muris Consortium牵头建立了一个小鼠20个器官单细胞转录图谱 Tabula Muris ,文章发表于Nature期刊[1],是本文中介绍的小鼠衰老组织单细胞图谱 Tabula Muris Senis 的前身。
那么本篇小鼠衰老组织单细胞图谱又是如何来为我们解开衰老的秘密呢?一起来看看吧!
基本信息
英文标题:A single-cell transcriptomic atlas characterizes ageing tissues in the mouse[1]
中文标题:小鼠衰老组织的单细胞图谱
材料:6个不同年龄段,共23个组织和器官的小鼠
影响因子:42.78
发表期刊:Nature
主要运用的技术:FACS、10x Genomics
衰老的特征是逐渐丧失生理完整性,导致功能受损,增加死亡的可能性。为了更好地了解衰老过程,作者生成了一个横跨小鼠生命周期的单细胞转录组图谱,包括23个组织和器官的数据。
研究结果表明多种细胞类型和器官都发生了细胞特异性变化,不同器官的细胞组成也发生了与年龄相关的变化。利用单细胞转录组数据,研究者评估了不同年龄特征的细胞类型特异性表现,如衰老、基因组不稳定性和免疫系统的变化。
本研究的转录组图谱,称之为 Tabula Muris Senis 或“小鼠衰老细胞图谱”,揭示了如何在广泛的组织和细胞类型的分子信息中反映衰老最重要的特征。
样本设计
对来自6个年龄组的雄性和雌性C57BL/6JN小鼠的35万多个细胞进行了单细胞RNA测序,从1个月大(相当于人类早期儿童)到30个月大(相当于人类百岁老人),涉及小鼠膀胱、骨髓和大脑的单细胞悬液(小脑、皮质、海马和纹状体)、脂肪(棕色、性腺、肠系膜和皮下)、心脏和主动脉、肾脏、大肠、四肢肌肉和膈肌、肝脏、肺、乳腺、胰腺、皮肤、脾脏、胸腺、舌头和气管(图1a)。
图1
研究内容及结论
1、被标注为B细胞或内皮细胞的细胞往往占据相同的cluster,而与它们的组织来源或处理方法无关
对同一只老鼠的多个器官的分析,能够获得受年龄、环境和表观遗传影响控制的数据。
2018年已经发表并构建的 Tabula Muris 图谱[2],包含来自3个月时间点的数据,代表了大约整个数据集中20%的细胞,是本次数据(增加的时间点)semi-automated细胞类型注释的基础。使用这种方法(图1b),能够自动注释多至70%的细胞。
使用bbknn batch-alignment algorithm进行批次矫正,之后用graph-based的聚类方法,并评估同一cluster中相同注释细胞的共现情况。
被标注为B细胞或内皮细胞的细胞往往占据相同的cluster,而与它们的来源组织或处理方法无关(图2)。
图2
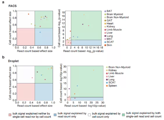
2、基因表达变化与细胞群体中细胞数量变化,以及每个细胞中基因表达水平变化相关
通过对组织的 Tabula Muris Senis 和bulk RNA sequencing数据中基因表达变化的分析,研究人员观察到,在许多情况下,基因表达的变化是和群体中细胞数量的变化以及每个细胞中基因表达水平的变化相关(图3)。
图3
文章研究了表达 Cdkn2a 的细胞片段随年龄的变化。Cdkn2a 及其蛋白产物p16的表达是最常用的衰老标记之一,也是衰老的一个重要标志。根据FACS及droplet结果,年老小鼠中表达 Cdkn2a 的细胞比例比年轻小鼠高出一倍以上(图4 a,b)。随之而来的是 p16在其表达细胞中的表达水平两倍的增长(图4 c,d)。
图4
值得注意的是,在30个月大的小鼠中,表达p16的细胞比例比24个月大的小鼠要小,这可能是因为长寿的动物衰老速度较慢。Cdkn2a 在衰老和其表达的细胞比例之间具有最高的相关性。其他正相关基因也包括 E2f2、Lmnb1、Tnf、Itgax。对于一些基因,包括Sirt家族成员(Sirt3, Sirt4 和Sirt5 ),其表达的细胞比例随着年龄的增长而减少。这与之前文献中发现的sirtuin(Sirt家族基因的蛋白质产物)对延缓细胞衰老至关重要的发现相一致。
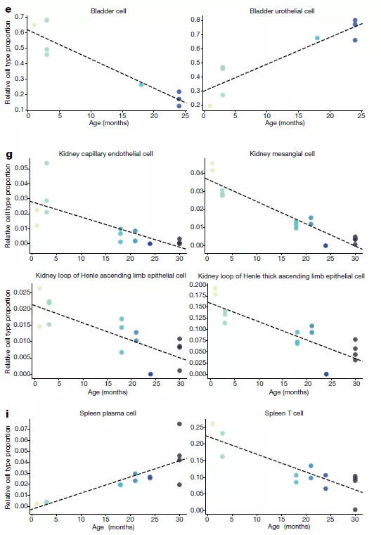
3、每种组织类型的细胞组成往往随年龄而变化
对于至少有三个时间点数据的组织,文章研究了这些组织中细胞组成的变化:
图5
(1)随着年龄的增长,膀胱细胞(bladder)类型的组成出现了明显的变化(图5e):在小鼠生命周期中,膀胱间叶组织(the mesenchymal compartment)细胞类型减少了三倍(图5e,左),而尿路上皮细胞类型增加了相似的数量(图5e,右)。
利用差异基因表达分析来评估组织随年龄的整体变化,发现基质相关基因(Col1a1、Col1a2、Col3a1 和 Dcn)下调,而上皮相关基因(Krt15、Krt18 和 Sfn)上调。
内皮细胞数量的下降表明,小鼠膀胱老化可能与较低的器官血管硬化有关,这与最近的发现[3][4]及观察到的血管相关基因 Htra 及 Fos 的下调是一致的。
白细胞数量的增加可能表明炎症组织微环境,与文献报道的膀胱过度活跃内容一致,是衰老的共同特征[5],Lgals3、Igfbp2 和 Ly6d 在组织中显著过表达支持了这一点,同时与免疫反应相关的基因,如 Tnfrsf12a 和 cdkn1a,在膀胱(间质)细胞和膀胱尿路上皮细胞中过表达。
此外,在比较不同年龄时,观察到老龄白细胞中促炎标志物(如 Cd14、Lgals3 和 tnfrsf12a)表达增加,抗炎标志物(如 Cd9 和 Cd81)表达减少。
(2)年龄相关的肾脏(kidney)变化包括系膜细胞、毛细血管内皮细胞、上升支上皮细胞和厚上升支上皮细胞的相对丰度减少。系膜细胞和毛细血管内皮细胞都是肾小球的核心细胞,它们的相对丰度随着年龄的增长而减少(图5g,上),同时组织范围内 Egf 和 Atp1a1 表达减少(图5h),提示肾小球滤过率受损。
(3)在脾脏(spleen)中,T细胞的比例随着年龄的增长而减少,而浆细胞的相对数量则增加(图5i)。B细胞和浆细胞marker基因的上调支持了这一点(Cd79a 和 Jchain(也称为 Igj )。图5j)。同样,在乳腺中,我们观察到T细胞数量下降。
(4)肝脏(liver)的组织结构也随着年龄的增长而变化。研究者观察到与年龄相关的肝细胞相对数量减少,白蛋白表达的减少支持了这一观点。
4、在所有的器官中,与年龄相关的突变数量增加
基因组不稳定性是研究最为广泛的衰老特征之一。full-length转录本数据可以研究随着年龄积累的体细胞突变。研究人员通过观察特定组织中,在每个年龄组至少覆盖75%的细胞的表达基因,发现这些组织中与年龄相关的突变数量增加(舌头和膀胱是最受影响的)。
图6
5、通过分析整个机体B细胞和T细胞之间的克隆关系,证实衰老也会影响免疫系统
衰老也会影响免疫系统,所以研究者也分析了整个机体B细胞和T细胞之间的克隆关系。分别使用singlecell-ige和TraCeR对FACS数据中出现的B细胞和T细胞受体的序列进行了计算重建。分析了singlecell-ige输出,根据组装好的B/T细胞受体的序列来定义B/T细胞克隆型。
尽管大多数细胞在3个月时不是同一个克隆(9%属于同一克隆family),但属于同一个克隆型的B细胞数量在18个月时相比较于3个月增加了一倍(20%),同时从18个月到24个月也增加了一倍(增加至约38%)。在3个月、18个月和24个月的小鼠中,组装T细胞受体的细胞数量大致相等(分别为2076、2056和1868个细胞)。3个月大的小鼠的T细胞中只有大约3%(1895个细胞中的55个)是克隆的一部分。在18个月和24个月时,这个值分别增加到约23%(2056个细胞中的479个细胞)和20%(1780个细胞中的348个细胞),再次表明T细胞免疫组库的克隆性随年龄的增加。
B细胞和T细胞克隆性的改变值得注意,因为它们表明24个月大的小鼠的免疫系统不太可能对新的病原体做出反应。也证实了文献中的报道:与年轻人相比,老年人对新感染的脆弱性更高,接种疫苗的益处更低[6][7]。
最后,计算整体多样性评分,以确定哪些细胞类型更容易随年龄变化(图7)。计算多样性得分作为聚类分配的香农熵,然后对年龄进行回归,得到一个P值, 观察到来自大脑和肾脏的免疫系统细胞多样性的显著变化(图8a,8b)。这些结果并没有被每个细胞表达的基因数量所干扰。
图7
图8
轨迹分析表明,“年轻的”小胶质细胞在获得“年老的”小胶质细胞的特征之前,会经历一个中间状态,即主要由18个月大的小胶质细胞组成的cluster所代表的状态(图9)。
在脑内的髓系小胶质细胞中,多数“年轻的”(3个月大)小胶质细胞占据cluster1和cluster6,而“年老的”(18个月和24个月)的小胶质细胞构成cluster10,cluster12和cluster14中的绝大多数细胞(图10)。
图9
图10
总结
小鼠衰老组织的单细胞图谱 Tabula Muris Senis,为细胞生物学community提供了一个有关分子和细胞类型特异性的衰老“画像”,提供了表型和生理学的深层特征,并为理解哺乳动物在其生命周期中发生的细胞生物学变化提供了参考。
参考文献
[1] Almanzar N , Antony J , Baghel AS, et al. A single-cell transcriptomic atlas characterizes ageing tissues in the mouse[J]. Nature, 2020, 583(7817):1-6.
[2] The Tabula Muris Consortium. Single-cell transcriptomics of 20 mouse organs creates a Tabula Muris. Nature, 2018, 562:367–372.
[3] Burmeister DM, AbouShwareb T, Bergman CR, et al. Age-related alterations in regeneration of the urinary bladder after subtotal cystectomy. Am. J. Pathol., 2013, 183:1585–1595.
[4] Andersson KE, Boedtkjer DB, Forman A. The link between vascular dysfunction, bladder ischemia, and aging bladder dysfunction. Ther. Adv. Urol., 2017, 9:11–27.
[5] Suskind AM. The aging overactive bladder: a review of aging-related changes from the brain to the bladder. Curr. Bladder Dysfunct. Rep., 2017, 12:42–47.
[6] Goronzy JJ, Weyand CM. Understanding immunosenescence to improve responses to vaccines. Nat. Immunol., 2013, 14:428–436.
[7] Goronzy JJ, Weyand CM. Successful and maladaptive T cell aging. Immunity, 2017, 46: 364–378.
END






